

![]() |
◆[qq 群] 贵州教师招考交流群:435498672 |
|
| ◆[微信]新文泰公考 微信客服咨询号: xwtjy_01 | ||
| ◆[ 备考资料]贵州教师备考资料 |
◆[电话] 咨询电话:0851— 86785360 |
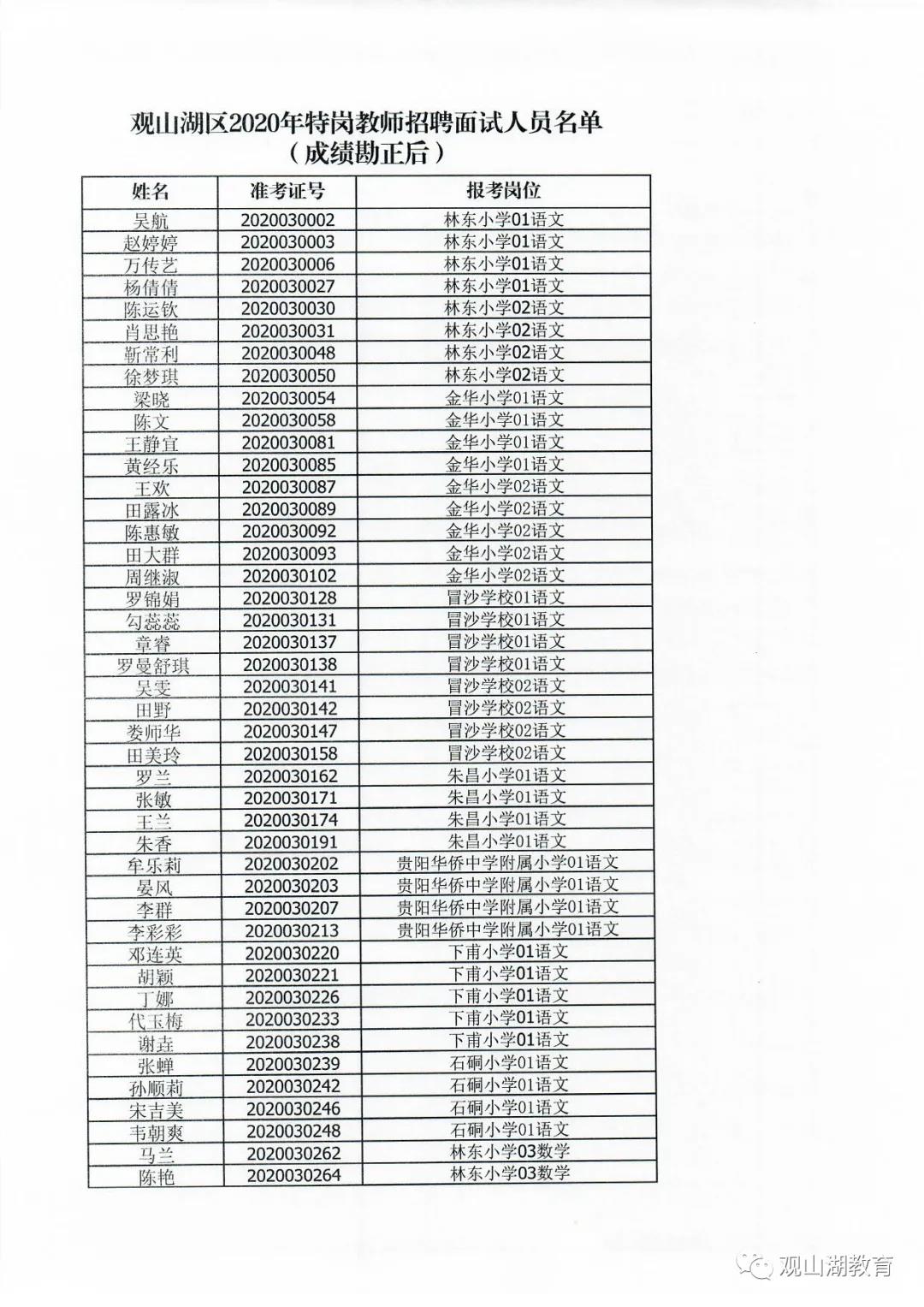
根据《观山湖区2020年农村义务教育阶段学校教师特设岗位计划招聘面试公告》及《观山湖区教育局关于2020年农村义务教育阶段学校教师特设岗位计划面试试题公布相关事宜的通知》相关内容,现将观山湖区2020年农村义务教育阶段学校教师特设岗位计划招聘面试试题及勘正成绩后的面试人员名单公布,请考生稍后在观山湖区人民政府门户网下载附件查阅。(备注:微信公众号可直接浏览界面内容)
附件:1.观山湖区2020年特岗教师招聘面试人员名单(成绩勘正后)
小学语文面试试题
试题一
人民教育出版社(部编版) 四年级下册 第104-108页
第七单元 第23课《“诺曼底号”遇难记》
试题二
人民教育出版社(部编版) 五年级下册 第22-27页
第二单元 第6课《景阳冈》
试题三
人民教育出版社(部编版) 六年级下册 第78-80页
第五单元 第15课《真理诞生于一百个问号之后》
小学数学面试试题
试题一
江苏凤凰教育出版社(苏教版)四年级下册 第48-49页
第五单元 《解决问题的策略》
试题二
江苏凤凰教育出版社(苏教版) 五年级下册 第85-87页
第六单元 《圆的认识》
试题三
江苏凤凰教育出版社(苏教版)六年级下册 第50-53页
第五单元 《确定位置》 第一课时
初中数学面试试题
试题一
北京师范大学出版社 七年级下册 第118-119页
第五章 第2节 《探索轴对称的性质》
试题二
北京师范大学出版社 八年级下册 第50页
第二章 第5节 《一元一次不等式与一次函数》
试题三
北京师范大学出版社 九年级下册 第65-66页
第三章 第1节 《圆》
初中历史面试试题
试题一
人民教育出版社(部编版) 七年级下册 第96-100页
第三单元 第19课《清朝前期社会经济的发展》
试题二
人民教育出版社(部编版) 八年级下册 第18-22页
第二单元 第4课《新中国工业化的起步和人民代表大会制度的确立》
试题三
人民教育出版社(部编版) 九年级下册 第87-90页
第五单元 第19课《亚非拉国家的新发展》
初中道德与法治面试试题
试题一
人民教育出版社(部编版) 七年级下册 第52-57页
第三单元 第六课 第一框《集体生活邀请我》
试题二
人民教育出版社(部编版) 八年级下册 第18-24页
第一单元 第二课 第一框《坚持依宪治国》
试题三
人民教育出版社(部编版) 九年级下册 第40-46页
第二单元 第四课 第一框《中国的机遇与挑战》
微信扫一扫,了解培训课程,预约有优惠
微信扫码添加获取考试资料【微信号:xwtjy_01】

全国联系方式0851-86785360、18984823606