特岗教师当前位置 : 首页 > 教师招考 > 特岗教师> 详细内容
思南县2019年特岗教师招聘(第二阶段)笔试成绩和面试人员名单公示(8月8日面试)
作者: 发布时间:2019-08-04


   [招考公告]事业单位信息汇总

      [qq群]贵州事业单位交流群: 296682493

   [笔试培训]事业单位笔试培训

      [视频]事业单位培训备考视频资料

   [面试培训]事业单位面试培训

      [微信]新文泰微信客服咨询号:xwtjy_02
   [备考资料]事业单位备考资料

      [电话]咨询电话:0851 —86785360




2019年贵州各地区事业单位招考公告汇总【点击查看


2019年贵州各地区教师招考公告汇总【点击查看



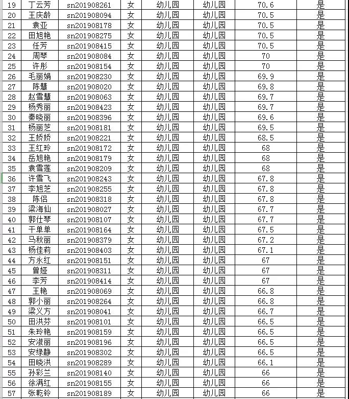
根据《思南县2019年农村义务教育阶段学校教师特设岗位计划招聘实施方案》,思南县2019年特岗教师招聘(第二阶段)笔试已于2019年8月3日进行,现将笔试成绩和进入面试人员名单予以公示。请进入面试人员于2019年8月8日上午8点前凭本人有效身份证和笔试准考证到思南中学初中部(思南中学老校区)参加面试。(统一从学校后校门进入)。

     思南县2019年特岗招聘领导小组办公室                       2019年8月4日       

关键字:思南县,2019年,特岗教师招聘,第二阶段,笔试成绩,面试人员名单公示
相关信息
新文泰 引领公考之路!
公务员招考 国考 省考 招考简章 历年真题
事业单位 招聘信息 信息汇总 报考指导 历年真题
教师招考 教师招聘 特岗教师 报考指导 历年真题
帮助中心 关于我们 联系我们 各地分校
全国联系方式0851-86785360、18984823606
友情链接:
免责声明:本网站部分内容来源于网络搜集,仅用于学习交流使用,如涉及侵权请联系本站管理员进行删除。

贵州省公职培训专业辅导机构,考公务员首选新文泰

备案号:黔ICP备15016424号-1

咨询热线
0851-86785360 0851-86786360

微信

在线客服