

![]() |
◆[qq群]贵州公务员交流群: 461734862 |
|
| ◆[微信] 新文泰微信客服咨询号:xwtjy_02 | ||
| ◆[备考资料]公务员招考备考资料 |
◆[电话]咨询电话:0851 —86785360 |
行测中的基础运算问题专指一些简单的数学计算或应用问题。它是数学运算的主要考查题型之一,目前作为单独考点的可能性虽然较低,经常与其他知识点结合起来考查。常见题型有:纯计算题、数列与平均数、约数与倍数、周期问题等。
本次给大家具体介绍纯计算题
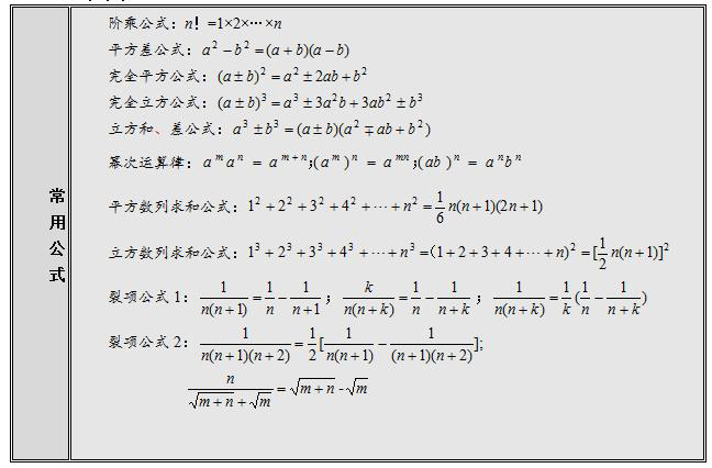
第一,一些常见的公式要牢记:
【经典真题1】
计算:1005×10061006-1006×10051005=( )
A.0 B.100 C.1000 D.10000
【解析】
发现10061006和10051005结构比较相似,可采用提取公因式10001的方式。原式=1005×1006×10001-1006×1005×10001=0。因此A项当选。
第二,巧用尾数法
尾数法,就是通过四则运算中得到的尾数来快速确定答案的方法。运用尾数法最重要的条件就是四个选项的尾数各不相同。注意在除法运算中尽量不要使用尾数法。
【经典真题2】
762013+252014的最后两位数字是( )
A.01 B.91 C.21 D.51
【解析】
试算可知,76的任意次方的后两位仍为76,25的任意次方的后两位仍为25,故相加的后两位数字为01。因此A项当选。
微信扫一扫,获取历年真题
微信扫码添加获取考试资料【微信号:18185186360】

全国联系方式0851-86785360、18984823606